文 号:无 |
信息分类: 其他 |
|
发文机构:政务中心办公室 |
成文日期:2014-10-29 14:50 |
|
名 称:武汉市洪山区政务服务中心2013年度决算 |
||
武汉市洪山区政务服务中心2013年度部门决算
2014年10月30日
附件1
武汉市洪山区政务服务中心2013年度部门决算公开目录
一、武汉市洪山区政务服务中心2013年度部门决算情况说明
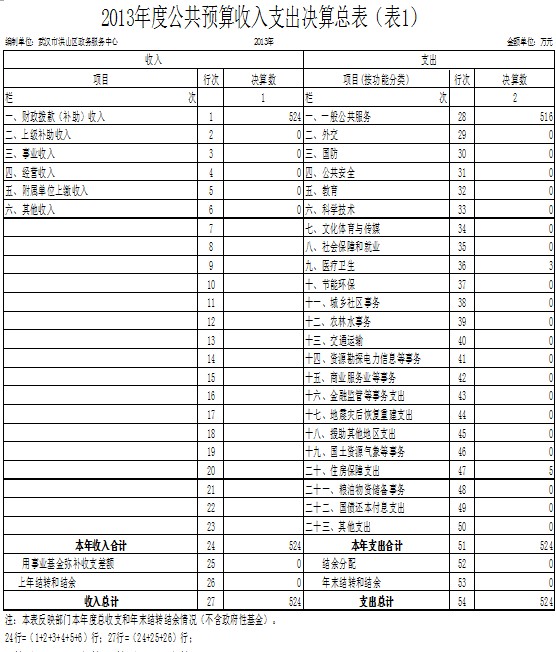
二、武汉市洪山区政务服务中心2013年度公共预算收入支出决算总表
三、武汉市洪山区政务服务中心2013年度公共预算收入决算表
四、武汉市洪山区政务服务中心2013年度公共预算支出决算表
五、武汉市洪山区政务服务中心2013年度公共预算财政拨款支出决算表
六、武汉市洪山区政务服务中心2013年度政府性基金预算收入支出决算表
七、武汉市洪山区政务服务中心2013年度“三公”经费决算情况说明
八、武汉市洪山区政务服务中心2013年度“三公”经费公共预算财政拨款支出决算表
附件2
武汉市洪山区政务服务中心2013年度部门决算
情况说明
一、基本情况
(一)部门决算单位构成
从 决算构成单位来看,武汉市洪山区政务服务中心部门决算由单位本级决算和纳入决算汇编范围的1个下属单位决算组成。其中:行政单位1个, 全额拨款事业单位1个。
(二)部门人员构成
武汉市洪山区政务服务中心总编制人数5人,其中:行政编制3人,事业编制2人,在职实有人数5人,其中:行政3人,事业2人。
二、公共预算收入支出决算总体情况
武汉市洪山区政务服务中心2013年收入总计524万元,其中:本年收入合计524万元,用事业基金弥补收支差额0万元,上年结转和结余0万元;支出总计524万元,其中:本年支出合计524万元,结余分配0万元,年末结转和结余0万元。
三、公共预算财政拨款支出决算情况
武汉市洪山区政务服务中心2013年公共预算财政拨款支出年度预算为534万元(包括年初部门预算、基本建设资金、上级下达的专项转移支付资金及年初结转和结余资金等支出),支出决算为524万元,完成年度预算的98%。其中:基本支出 66万元,主要是一般公共服务58万,医疗卫生3万元,住房保障支出是5万元。项目支出458万元,其中主要用于办公经费 10万,延时服务69万,复印费(财政专项经费)38万元,会议费10万,审批系统及维护25万,宣传费6万,学习培训12万,机动4万,业务费13万,临时人员9万等。
(一)一般公共服务(类)年度预算为526万元,支出决算为516万元,完成年度预算的98%.
(二)医疗卫生(类)年度预算为3万元,支出决算为3万元,完成年度预算的100%.
(三)住房保障支出(类)年度预算为5万元,支出决算为5万元,完成年度预算的100%。
四、政府性基金预算收入支出决算情况
武汉市洪山区政务服务中心2013年无政府性基金预算收入。





说明:因洪山政务中心无政府性基金收入,也没有使用政府性基金安排的支出。特此说明!
附件8
武汉市洪山区政务服务中心2013年度“三公”经费公共预算财政拨款支出决算情况说明
一、“三公”经费的单位范围
武汉市洪山区政务服务中心有公共预算财政拨款预算安排“三公”经费的单位包括武汉市洪山区政务服务中心本级及下属0个行政单位、0个参公事业单位、1个全额拨款事业单位。
二、“三公”经费公共预算财政拨款支出决算情况
2013年度“三公”经费财政拨款支出决算为29万元。
(一)因公出国(境)费用支出决算为5万元。因公出国(境)团组 1 次, 1人次,实际发生支出 5 万元。主要用于业务考察出访。
(二)公务用车购置及运行维护费支出决算为16万元。
1.公务用车购置费0万元。本年度购置(更新)公务用车0 辆,年末公务用车保有量 3 辆。
2.公务用车运行维护费16万元。其中:租车费0.23万元;燃料费 4.64 万元;维修费 8.99 万元;过桥过路费 1.33 万元;保险费 0.81 万元;安全奖励费用 0 万元;其他 0万元。
(三)公务接待费支出决算为8万元,主要用于其它接待和公务开展业务活动开支公务接待费 8 万元。

站点地图智能问答
版权所有:武汉市洪山区人民政府 | 鄂ICP备05009168
鄂公网安备 42011102000076号 | 政府网站标识码:4201110038
主办单位:武汉市洪山区政府办公室 | 承办单位:洪山区大数据中心 | 联系地址:武汉市洪山区珞狮路300号 | 邮编:430070
政府各机构联系电话 | 网站技术支持:027-87673391 | 网站运维邮箱:htfw@hongshan.gov.cn